Mới đây, trong một nhóm mạng xã hội có phụ huynh đăng bài tập của con lên nhờ cộng đồng mạng giải đáp.
Nội dung chia sẻ như sau: "Các cô giáo trong nhóm cho em hỏi đây là đề bài ôn giữa kỳ lớp 5 theo cô dạy, giải cách bên trên. Chồng em thì nói cách trên không logic giải cách bên dưới. Vậy con em giải theo cách bên dưới chồng em làm có được không?”.
Bài viết kèm theo hình ảnh cách giải của học sinh theo cô giáo và cách giải của bố lập tức nhận được quan tâm.


Học sinh lớp 5 giải theo cách của cô giáo dạy. Ảnh: CMH
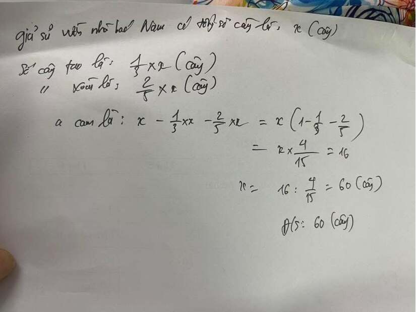
Theo đó, đề bài được cho như sau: "Vườn cây nhà bác Nam có 1/3 số cây là cây táo, 3/5 số cây là cây xoài, còn lại là cây cam. Biết rằng số cây cam có trong vườn là 16 cây. Hỏi trong vườn nhà bác Nam có tất cả bao nhiêu cây?".
Cách giải của học sinh lần lượt tìn số phần chỉ số cây táo và cây xoài trong vườn, số phần chỉ số của cây cam và cuối cùng tính trong vườn nhà bác Nam có tất cả 60 cây.

Cách giải của phụ huynh khiến ai cũng bật cười. Ảnh: CMH
Cũng cho ra đáp án là 60 cây, tuy nhiên, bố của học sinh lại làm theo cách giải phương trình tìm x. Và đây cũng là nguyên nhân khiến dân mạng ôm bụng cười bởi bố áp dụng cách giải không phù hợp với học sinh lớp 5. "Bố thích thì để con ở nhà bố dạy, cô đỡ mệt", một người vui vẻ chia sẻ.
Trao đổi với PV Dân Việt, Thạc sĩ Vũ Hoàng Sơn, giáo viên Trường Tiểu học Bình Hòa, TP.HCM nhận xét: "Bài toán này không phải đề thi mà trong sách tham khảo được giáo viên giao thêm cho học sinh ôn tập. Đây là bài nâng cao về dạng toán phân số".
Thầy Sơn khẳng định, cách giải của học sinh là đúng, phù hợp với chương trình tiểu học. Còn cách giải của bố khó hiểu hơn vì các em chưa học đến.
Qua đây, thầy Sơn cũng tư vấn thêm: "Khi dạy cho học sinh tiểu học, bố mẹ cần xem tổng quát chương trình học trong sách giáo khoa để biết các bé đang học nội dung nào, trong trường, các con học đến bài nào... Sau đó, phụ huynh hướng dẫn cho các con làm bài dựa trên các kiến thức đã được học của các con. Từ đó, các con sẽ dễ hiểu, nắm vững bài và khắc sâu kiến thức hơn.
Bố mẹ tránh hướng dẫn các con những kiến thức chưa được học ở trường vì điều này sẽ gây khó khăn, áp lực đối với trẻ. Dẫn đến nhiều bố mẹ nóng tính la mắng các bé và nghĩ rằng con "bị hổng kiến thức, chưa hiểu bài".
Ngoài ra, kiến thức học tập và khả năng tìm hiểu của các con từ nhiều nguồn khác nhau như internet, Youtube,... cũng vẫn phải khuyến khích các con phát huy năng lực của mình thông qua các kênh học tập để rèn luyện kiến thức, kỹ năng của trẻ. Do đó, bố mẹ cũng không nên quá áp đặt việc tìm hiểu kiến thức của trẻ".
TS Nguyễn Đình Hùng, giáo viên dạy Toán ở Hà Nội, nhận xét: "Ông bố đang dùng kiến thức lớp 8 để giải cho con học lớp 5. Cách giải của học sinh theo lời cô giáo dạy là đúng theo cách số học, lập luận dựa trên tổng số phần. Đây là cách giải logic, không như nhận xét của phụ huynh. Ông bố giải theo cách đại số giải phương trình. Cách này không sai nhưng không phù hợp với kiến thức của học sinh tiểu học.
Tuy nhiên, nếu học sinh thông minh vượt bậc, lập luận và giải được như ông bố thì vẫn được điểm tối đa. Thế nhưng sẽ ít học sinh làm được như vậy, tỉ lệ theo thống kê rất nhỏ, chỉ vào khoảng 0,0002%".
Cũng theo TS Hùng, khi bố mẹ dạy con môn Toán ở nhà cần phải chuẩn bị nền kiến thức và tài liệu. Bố mẹ phải cập nhật chương trình Toán hiện hành của con theo lớp, theo sách giáo khoa, sách tham khảo, tham khảo tài liệu trên internet.
Về phương pháp, bố mẹ cần dạy con theo bản chất, không học vẹt công thức; dành thời gian để cho con suy nghĩ, không làm hộ; dạy con cách trình bày rõ ràng, logic; Thiết lập thời gian học cố định hàng tuần; không gian học cần yên tĩnh, có không gian riêng. Trong quá trình học bố mẹ cần khen ngợi nỗ lực của con, không chỉ là nhìn vào kết quả. Khi con sai bố mẹ cần giúp con hiểu bản chất, tránh la mắng.
Bản thân bố mẹ cần có đủ thời gian và kiên nhẫn để dạy con, cần nắm vững kiến thức cơ bản theo chương trình hiện hành của con, giúp con hiểu bản chất chứ không chỉ dạy làm đúng bài tập và phải có tố chất về phương pháp ngoài kiến thức toán. Bố mẹ theo dõi tiến độ của con để điều chỉnh phương pháp. Khi con học chương trình nâng cao để thi các kỳ thi như học sinh giỏi, thi chuyên… thì cần phải có thầy cô đủ kiến thức và nền tảng sư phạm.

Bình luận
TVQuản trị viênQuản trị viên
Xin chào quý khách. Quý khách hãy để lại bình luận, chúng tôi sẽ phản hồi sớm